Wie werden Sensoren für die kardiopulmonale Reanimation validiert?
Warum wird ein CPR Feedbacksensor überhaupt benötigt?
Herz-Kreislauf-Erkrankungen mit Herzstillstand gehören in Deutschland zu den drei häufigsten Todesursachen. Dabei kann eine kardiopulmonale Reanimation, kurz CPR, lebensrettend sein. Obwohl sich die allgemeine Situation durch die Schulung zahlreicher Ersthelfer und den medizinischen Fortschritt deutlich verbessert hat, sind die Überlebenschancen weiterhin sehr gering, mit etwa 10 Prozent bei einem Herzstillstand außerhalb von Krankenhäusern [1].
Dies hängt unter anderem auch mit der Qualität der Herzdruckmassage zusammen. Es gibt verschiedene Einflussfaktoren auf die Qualität und Effizienz der CPR. Zwei der wichtigsten Faktoren sind dabei die Eindrucktiefe in Kombination mit der Eindruckfrequenz. Diese Parameter sollten für einen Erwachsenen bei circa 5 bis 6 cm und 100 bis 120 Eindrücken pro Minute (Beats per Minute) liegen, sonst ist die Überlebensrate stark herabgesetzt [2].

Der CPR-Feedbacksensor trackt und analysiert die Bewegungen während einer Herzdruckmassage, mehr zur Entwicklung könnt ihr im Blog von Stefan lesen...
Da auch bei geschultem Fachpersonal die Qualität und Effizienz über eine zunehmende Reanimationsdauer nachlässt, sind Feedbacksysteme bereits fest im Rettungswesen etabliert. Diese bestehen meist aus Beschleunigungssensoren, die auf der Brust des Patienten befestigt werden und so die Eindrucktiefe messen können. Dennoch ist die Algorithmik dieser Sensoren zum Teil stark fehleranfällig und falsche Ausgaben können gravierende Folgen für den Patienten bedeuten. Die Fehler der Algorithmik könnten jedoch meistens durch eine geeignete Validierung erkannt und dadurch besser vermieden werden. Eine solche sollte dazu den Bewegungsablauf bei einer Reanimation möglichst genau nachbilden können und externe Einflussfaktoren wie den reanimierenden Menschen nicht außer Acht lassen.
Aus diesen Gründen hat MEDtech Ingenieur in einem internen Forschungs- und Entwicklungsprojekt einen CPR-Feedbacksensor zur Eindrucktiefenmessung entwickelt, um einen besseren Reanimationsablauf zu unterstützen. Als Grundlage für den Feedbacksensor dient uns das „M-Track-Board“ (= Motion-Track-Board). Das Board ist eine von uns entwickelte Platine mit unterschiedlichen Sensoren (Gyroskop, …) und kann flexibel für unterschiedliche Anwenderfälle im Bereich der Bewegungsanalysen programmiert und weiterentwickelt werden. Um eine gesicherte Validierung dieses Sensors und seiner Algorithmik zu erstellen, muss eine Prüfstation bzw. ein Prüfstand konstruiert werden.
Welche Anforderungen muss ein Teststand für die Sensorvalidierung in der Medizintechnik erfüllen?
Die grundlegenden Anforderungen an einen solchen Prüfstand sind durch den Reanimationsprozess selbst festgesetzt, so sollte der Teststand beim Eindrücken dieselbe Steifigkeit wie bei einem menschlichen Torso haben und auch eine ähnliche Größe besitzen. Damit der menschliche Einfluss der reanimierenden Person nicht aus der Validierung ausgeschlossen wird, werden wir den Teststand manuell über eine Reanimationspuppe betreiben. Um dabei verschiedene Szenarien abbilden zu können, sollen unterschiedliche Eindrucktiefen realisiert werden können, die von einem hochpräzisen Messsystem aufgezeichnet werden. Diese Daten dienen dann als Validierungsgrundlage (Referenz).
Zusätzlich muss ein solcher Prüfstand auch einfach zu kalibrieren und zu bedienen sein.
Wie erfolgt die Umsetzung eines Teststands zur Eindrucktiefemessung mit unseren Anforderungen?
Die Summe der Anforderungen und Rahmenbedingungen führen zu der konstruktiven Umsetzung des Prüfstands, die in Bild 1 zu sehen ist.

Der Betrieb des Teststands, um genau zu sein die Aufnahme einer Messreihe, läuft dabei folgendermaßen ab:
- Der zu validierende Sensor des M-Track-Boards muss über eine serielle Schnittstelle mit dem PC/ Laptop verbunden sein, damit er Daten übermitteln kann.
- Ebenfalls muss der Prüfstand mit dem PC/ Laptop verbunden sein, um auch von diesem Daten erhalten zu können.
- Dann kann die eigentliche Messung gestartet werden. Der Prüfstand wird während der Messdauer wie bei einer realen Reanimation vom Bediener eingedrückt, sodass sich die Oberplatte ohne Verkippung in z-Richtung verschiebt. Dabei stellen die Federn eine Steifigkeit sicher, die der des menschlichen Torsos ähnelt. Die Bewegung der Oberplatte wird mit dem hochpräzisen Messsystem des Prüfstands detektiert.
- Nach der Beendigung der Messung werden die Daten als .csv-Datei gespeichert.
- Die Ergebnisse können automatisch geplottet und am PC/ Laptop angezeigt und analysiert werden.
Wie werden Messdaten der Eindrucktiefe am Teststand zuverlässig erfasst und ausgewertet?
Eine hochgenaue Aufzeichnung der Eindruckdaten ist für eine belastbare Validierung des Sensors unverzichtbar. Das zweistufige Messsystem des Prüfstands besteht aus drei Kodierern und drei Time-of-Flight-Sensoren. Die Encoder befinden sich an den Säulenprofilen des Prüfstands und detektieren die Höhenänderung.
Dies geschieht durch eine Umwandlung der vertikalen in eine rotatorische Bewegung über ein auf dem Aktuator befestigtes schrägverzahntes Ritzel und eine dazu passende Zahnstange. Die ToF-Sensoren sind in den Ecken auf der Unterseite der Oberplatte befestigt und messen mittels der Aussendung und Aufnahme eines Lichtsignals. Beide Sensorarten sind exemplarisch in Bild 2 zu sehen.
Bild 2: Detailansicht des a) ToF-Sensors in seiner Halterung und b) des Encoders an einem Säulenprofil
Aus den unterschiedlichen Wirkweisen der Prüfstandsensoren resultiert eine hochpräzise Messung als Referenz für den externen Sensor.
Welche Vorteile bietet ein spezialisierter Prüfstand für die Validierung medizinischer Sensoren?
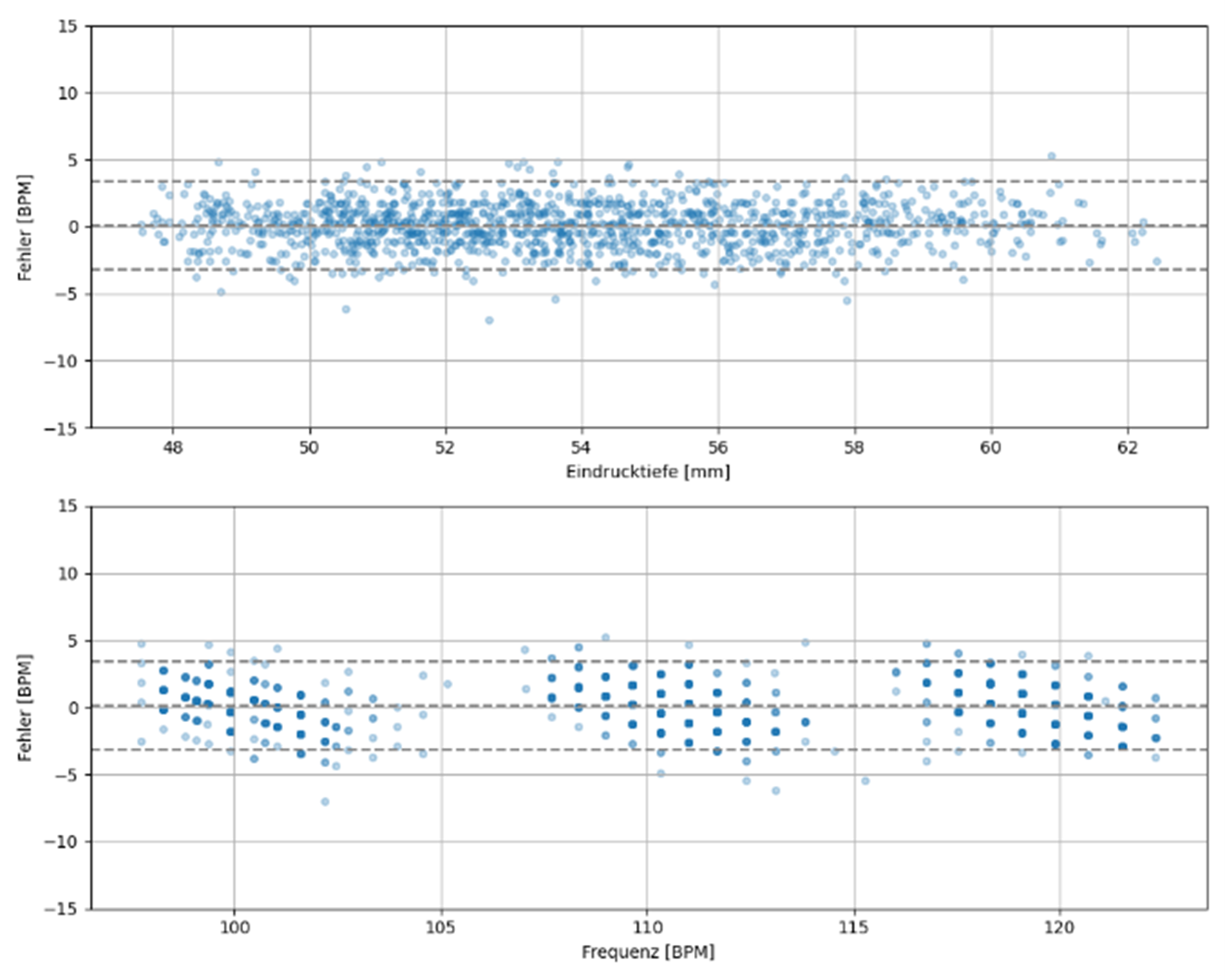
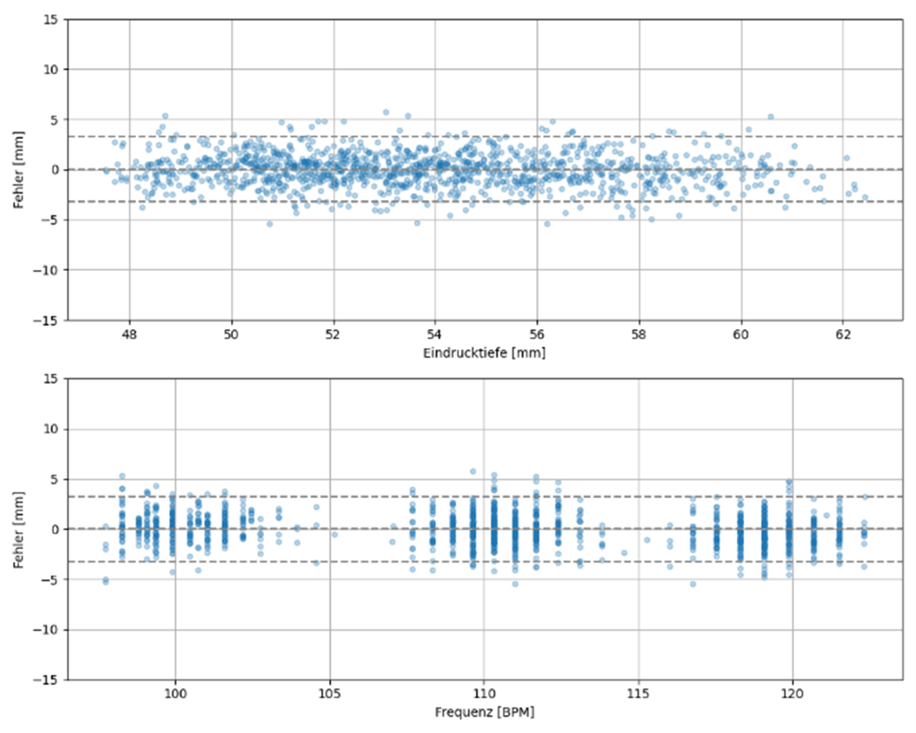
Der Prüfstand ist ideal, um verschiedene externe Einflüsse in den Validierungsprozess einzubringen. Durch die manuelle Bedienung ist es beispielsweise gut möglich, die Frequenz und Eindrucktiefe über die Messdauer zu variieren und die Reaktion der Algorithmik auf solche Veränderungen zu testen.
In der nachfolgenden Abbildung ist deutlich der große Vorteil des Prüfstands zu erkennen: die Aufnahme großer Datenmengen ist schnell und flexibel möglich. Zur Entwicklung des Feedbacksensors mit der MEDtech M-Track-Platine gibt es einen eigenen Blogbeitrag, diesen finden sie hier: CPR-Feedbacksensor von Stefan Höhe.
Benötigen sie eine unverbindliche Beratung oder Unterstützung beim Testen und Validieren von ihrem Produkt? Kontaktieren sie uns gerne und wir helfen ihnen von der Entwicklung bis zur Auslieferung ihrer Produkte.
